Entries from 2017-01-01 to 1 year

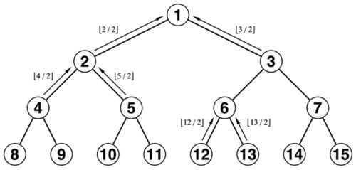
Finding Distance Between Two Nodes of a Binary Tree

yambe2002さんの記事に面白い問題が掲載されていたことをふと思い出して、考えてみました。 バイナリツリーの2ノード間の距離を求めるメソッドを作成せよ こちらは所謂「ホワイトボードコーディング」で出題された問題だそうです。つまり、面接の問題です。 …

Idiom: Cumulative Summation Summary

累積和を実装するとき、いつもインデックスの扱いに悩んでしまいます。これが結構時間を喰うので 、しっかりイディオムとしてまとめようと思いました。 例えば0-indexの配列、\(a_i\)があるとします。 $$ \begin{array}{c|ccccc} i & 0 & 1 & 2 & 3 & 4 & 5\…

Idiom: Check if given string starts with some string

std::stringとして与えられた文字列がある特定の文字列から始まるかどうかを記述するのは簡単なことのように思えます。これが自分にとっては意外に難しく、いつも時間を割いてしまうのです。先日、コードリーディングをしていた際にうまい方法を見つけたため…

Redirecting Contents of File to Standard Input

1行シェルスクリプトとEmacsで極力物事を済ます方針になって久しいのですが、コンテスト中は時間がないので多少のスクリプトを用意しています。先日コンテスト中にこんなスクリプトがあったらいいなあ、と考えついたので早速作成しました。 Emacsでテキスト…

Idiom: Calculating Power of 10 using pow Function in Integer Arithmetic

今日参加したコンテストで有効な電話番号の組み合わせ数を求める問題が出題されました。実装ではlong longの大きな値、例えば\(10^{17}\)から小さな値、例えば10や1を引く演算を行う必要がありました。 powを使って10の冪乗を計算する解法も少なくなかったの…

Series of Xor Arithmetics

先日参加したコンテストにこんな問題が出題されました。排他的論理和を使う問題です。 nとxが与えられる。n個の異なる整数のビットごとに排他的論理和を取ってxとなるようにしたい。n個の非負整数を出力せよ ただし、1 ≦ n ≦ 105、0 ≦ x ≦ 105とし、出力する…

Idiom: Getting the largest number that is less than x

Idiom: Getting the largest number that is less than x プログラムを書いているとき、思ったことが思った計算量でできることは分かっているのに細かい処理がパッと書けないことってありますよね。今日はこの問題を解いているときに、「std::mapのキーがx未…