To a better understanding of the Otsu’s method
大津の方法の最も有名な応用例として画像の2値化が挙げられます。この応用での圧倒的ともいえる知名度とその貢献度からか他の問題(例えば機械学習)への応用に関して明示的に言及されることが少ないですが、英語版のWikipediaの記事に記載されているように、その本質は一次元の離散な線形判別分析法の一種です(余談ですが判別分析法という呼び名の他にも判別分別法等、色々な呼び方があるようです)。
大津の方法に関しては画像解析ハンドブックのp. 1520、8 2値画像処理、8.1.2 しきい値自動決定法で詳しく紹介されています。
[2] 大津の方法
大津の判別分析法(Otsu's adaptive thresholding method)とよばれる方法であり、画像の濃淡ヒストグラムから統計的な意味での最適しきい値を決定する。あるしきい値によってヒストグラムを2つのクラスに分割した場合のクラス間分散σB2(k)が最大になるkをしきい値k*に選ぶという原理である。
画像解析ハンドブック
ここで言及されているクラス間分散σB2(k)は以下のように計算される値です。
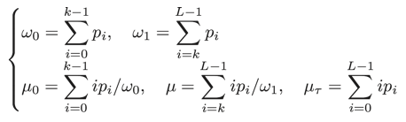
またNを全画素数、niをレベルiの画素数とします。ここからNとniからレベルiの画素が占める割り合いを算出することができます。これをpiとします。
これらを元に、ω0やω1、μ0やμ1、μτは以下のように定義します。Lは画像全体の諧調数を表します。
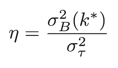
これらの式を元に以下の係数ηを最大化するk*を計算します。
右辺の分子は先に挙げた「最大化させる」式です。分母のστ2は全分散です。その名の通り、全体の分散を表します。対象が画像の2値化であれば、画像全体での分散となります。全分散はしきい値にどんな値を設定しても不変なので、ηを最大化するk*を探すときには定数として考えてしまって構いません。先ほどの抜粋では全分散に関して言及されなかったのはこのためです。
画像解析ハンドブックでの大津の方法の解説は以上ですが、これだけだと少し分かり辛いですよね。少なくとも私はそう感じ続けていました。しかし、最近わかりやすいパターン認識という書籍を読み、一気に理解を深めることができました。これを紹介したいと思います。
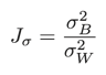
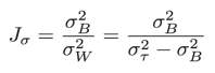
わかりやすいパターン認識では上述のηを変形したJσ、「クラス内分散・クラス間分散比」を採用し、これを「クラス間分離度」としてしきい値を評価します。
そのためにまず、「クラス内分散」と「クラス間分散」の定義をしています。以下は第5章 特徴の評価とベイズ誤り確率、5.2 クラス内分散・クラス間分散比からの抜粋です。
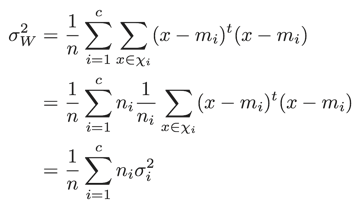
クラスωiに属するパターン集合をχiとし、χiに含まれるパターン数をni、平均ベクトルをmiとする。また、全パターン数をn、全パターンの平均ベクトルをmとする。ここで、クラス内分散(within-class variable)をσW2、クラス間分散(between-class variance)をσB2で表す
わかりやすいパターン認識
ここで、σW2とσB2は以下とします。
続けて、わかりやすいパターン認識ではクラス内分散とクラス間分散を以下のように説明しています。
クラス内分散はクラスの平均的な広がりを表し、クラス間分散はクラス間の広がりを表している。したがってそれらの比Jσを定義すれば、Jσが大きいほど優れた特徴であると判定することができる。上記Jσはクラス内分散・クラス間分散比(within-class variance between-class variance ratio)と呼ばれる。これはクラス内距離で正規化したクラス間距離とみることもできる。
わかりやすいパターン認識
画像解析ハンドブックで解説されていた大津の方法の式と比べると
- 連続である
- 多次元のベクトルを扱っている
という差はありますが、式として圧倒的に見通しのよいものになっていることが分かります。例えばクラス内分散を算出する式は分散(全分散)を算出する式とほとんど変わず、平均値の代わりにそれぞれのクラス(ωi)の平均値miとの差を取ります。逆に言えば、これに模して分散(全分散)の式を書くとすれば以下のようになるでしょう。
クラスに属するデータの分散をσi2とすると、以下のようにも計算できます。
クラス間分散も見た通りです。こちらはクラスに属するデータの平均値の分散を算出しています。クラスの平均値がばらつけばばらつくほど分離度が高いというのは想像と容易に合致することでしょう。
さて、Jσを一見すると、最大化するしきい値を探すときにクラス内分散とクラス間分散の双方を計算しなければならないように見えます。わかりやすいパターン認識ではその点について言及していません。しかし、全分散とクラス内分散、クラス間分散には以下の等式が成り立つことが広く知られているようです。
これを用いると、Jσを以下のように変形することができます。
分散は負の値を取りません。そのためσB2は[0, στ2]の範囲を取ります。この区間でJσはσB2について単調増加する関数ですので、Jσを最大化するしきい値を探すにはσB2を考えれば十分、ということになります(σB2をx、στ2をaとするとJσ = x / (a - x)であり、この微分はa / (a - x)2であることを考えてみるとよいでしょう)。
まとめ
- クラス内分散、クラス間分散を正確に把握することにより、クラス内分散・クラス間分散比をより深く理解することができる
- 大津の方法は一次元の離散な線形判別分析法の一種である。そのため、上記を理解することにより迷いなく応用することが期待できる
大津の方法は大変有名な手法で独立して紹介されていることが多く、またアルゴリズムとしてもコンパクトに記述することが可能なことからその式の成り立ちが見えにくいように感じていました。そもそもの成り立ちであるクラス内分散・クラス間分散比から考えていったほうが理解が進むことに気付いたときは目から鱗でした。
機械学習や緩和アルゴリズム等で大津の方法のような簡単な判別分析法が活躍する場面は少なくないように思います。それらの応用についてもいつか時間を取って紹介出来たらいいな、と思います。
さて、本エントリでは以下の2つの書籍の記述を元に文書を構築しました。両書とも大変な良著だと思います。

- 作者: 高木幹雄,下田陽久
- 出版社/メーカー: 東京大学出版会
- 発売日: 2004/09/10
- メディア: 単行本
- クリック: 1回
- この商品を含むブログ (1件) を見る

- 作者: 石井健一郎,前田英作,上田修功,村瀬洋
- 出版社/メーカー: オーム社
- 発売日: 1998/08/01
- メディア: 単行本
- 購入: 19人 クリック: 110回
- この商品を含むブログ (42件) を見る
中でも画像解析ハンドブックは良著中の良著です。多少値は張りますが機会があったら是非目を通してもらいたい書籍です。









